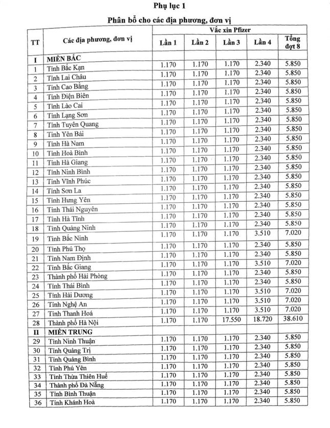
Chi tiết phân bổ hơn 740.000 liều vắc xin Pfrizer
Ngày 13/7, Bộ Y tế cho biết đã có danh sách chi tiết phân bổ vắc xin Pfrizer cho các địa phương và đơn vị. Theo đó Bộ Y tế yêu cầu Dự án Tiêm chủng mở rộng quốc gia - Viện Vệ sinh dịch tễ Trung ương thực hiện tiếp nhận, bảo quản và vận chuyển vắc xin tới Dự án Tiêm chủng mở rộng khu vực để phân bổ 746.460 liều vắc xin phòng COVID-19 BNT162b2 của Pfrizer được cung ứng trong tháng 7 tới các đơn vị theo danh sách.
Sở Y tế các tỉnh, thành phố chỉ đạo Trung tâm kiểm soát bệnh tật tiếp nhận, bảo quản theo hướng dẫn của nhà sản xuất và tổ chức triển khai tiêm chủng ngay số vắc xin được phân bổ cho các đối tượng theo đúng Nghị quyết số 21/NQ-CP ngày 26/02/2021 của Chính phủ và Bộ Y tế.
Bộ Quốc phòng và Bộ Công an chủ động liên hệ với Dự án Tiêm chủng mở rộng Quốc gia để tiếp nhận và tiêm vắc xin cho các đối tượng thuộc thẩm quyền quản lý Các đơn vị trực thuộc Bộ Y tế tiếp nhận, bảo quản và tiêm vắc xin cho các cơ quan Trung ương trên địa bàn, các đơn vị, tổ chức, cá nhân theo quy định.
Trường hợp các đơn vị không sử dụng hết vắc xin hoặc có nhu cầu sử dụng thêm thì phối hợp với Dự án Tiêm chủng mở rộng Quốc gia - Viện Vệ sinh dịch tễ Trung ương, Viện Pasteur TPHCM để chủ động điều phối, tổ chức tiêm chủng, đảm bảo sử dụng vắc xin hiệu quả.

Trường hợp số lượng vắc xin hạn chế thì ưu tiên sử dụng để tiêm mũi 2 cho những người đã tiêm mũi thứ nhất bằng vắc xin AstraZeneca từ 8-12 tuần nếu người được tiêm chủng đồng ý và tiêm mũi thứ nhất cho những người chưa được tiêm chủng.
Vắc xin được bảo quản ở nhiệt độ 2°C đến 8°C thì phải sử dụng hết trong vòng tối đa 31 ngày. Các đơn vị được phân bổ cần phối hợp chặt chẽ với Dự án Tiêm chủng mở rộng quốc gia - Viện Vệ sinh dịch tễ Trung ương, Dự án Tiêm chủng mở rộng khu vực để lập kế hoạch tiếp nhận vắc xin và triển khai tiêm chủng kịp thời, đảm bảo sử dụng hết số vắc xin được nhận.
Dự án Tiêm chủng mở rộng quốc gia - Viện Vệ sinh dịch tễ Trung ương khẩn trương hoàn thiện tài liệu và tổ chức tập huấn sử dụng vắc xin COVID-19 BNT162b2 của Pfizer (Comirnaty) cho các đơn vị trước khi triển khai tiêm chủng.
Dự án Tiêm chủng mở rộng quốc gia, các đơn vị, địa phương tiếp nhận, sử dụng vắc xin chịu trách nhiệm quản lý, sử dụng, báo cáo theo từng nguồn vắc xin được phân bổ (bao gồm các vắc xin đã điều phối giữa các đơn vị, địa phương); thực hiện báo cáo kết quả tiêm chủng về Bộ Y tế (Cục Y tế dự phòng) và Viện Vệ sinh dịch tế Trung ương. Điều 3. Quyết định này có hiệu lực kể từ ngày ký ban hành.
Số vắc xin này được chi làm 4 đợt, phân bổ cho 63 tỉnh, thành phố trên toàn quốc và lực lượng quân đội, công an với 576.810 liều. Ngoài ra còn phân bổ cho 21 bệnh viện và viện với 169.650 liều.
Tin tức khác
- CÔNG AN PHƯỜNG UÔNG BÍ KỊP THỜI GIÚP NGƯỜI DÂN NHẬN LẠI 200 TRIỆU ĐỒNG CHUYỂN NHẦM
- Hướng dẫn nghiệp vụ công tác tổ chức bầu cử đại biểu Quốc hội khóa XVI và đại biểu Hội đồng nhân dân các cấp nhiệm kỳ 2026 - 2031
- Lễ khởi công Dự án đầu tư xây dựng mới các công trình mở rộng, nâng cấp Bệnh viện – công trình chào mừng Đại hội đại biểu toàn quốc lần thứ XIV của Đảng
- Đoàn Thu Hằng: Từ "Đôi chân trần" Điền Công đến tấm Huy chương Bạc SEA Games rạng danh Tổ quốc
- Ban chấp hành Đảng ủy phường Uông Bí nghe và cho ý kiến vào Kế hoạch phát triển kinh tế - xã hội năm 2026 và Kế hoạch phát triển kinh tế - xã hội giai đoạn 2026 - 2030
- Hội nghị Ban Thường vụ Đảng ủy chuyên đề tháng 12
- Hội nghị trực tuyến đánh giá kết quả thực hiện Nghị quyết 57-NQ/TW
- Trung tâm Cung ứng dịch vụ phường Uông Bí: Sinh hoạt chuyên đề về nâng cao hiệu quả công tác Đảng trong kỷ nguyên số
- Quyết định Ban hành đơn giá sản phẩm dịch vụ sự nghiệp công không sử dụng ngân sách nhà nước về đăng ký, cấp giấy chứng nhận quyền sử dụng đất, quyền sở hữu tài sản gắn liền với đất trên địa bàn tỉnh Quảng Ninh
- Đoàn ĐBQH tỉnh tiếp xúc cử tri sau Kỳ họp thứ 10, Quốc hội khóa XV
- Lịch công tác của Thường trực Đảng ủy tuần 51 (từ ngày 15/12/2025 đến ngày 21/12/2025)
- BHXH Uông Bí: Ra quân quyết tâm hoàn thành chỉ tiêu BHYT hộ gia đình năm 2025